The ROC curve (Receiver Operating Characteristic curve) is a tool for evaluating the performance of classification models. It displays the classification ability of the model by plotting the relationship between the True Positive Rate (TPR) and the False Positive Rate (FPR). The horizontal axis of the ROC curve represents the False Positive Rate, while the vertical axis represents the True Positive Rate.
Input
The input file is divided into three columns. The first column is ID, the second column is type, separated by \t in between.

Output

Chart Description
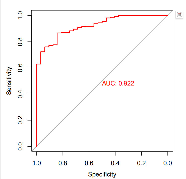
Chart Type: ROC curve (Receiver Operating Characteristic curve)
X-axis: False Positive Rate (1 - Specificity)
Y-axis: True Positive Rate (Sensitivity)
Red Curve: Represents the classification performance of the selected variable.
AUC Value: The chart displays the AUC (Area Under Curve) value.
The ROC curve (Receiver Operating Characteristic curve) is a tool for evaluating the performance of classification models. It displays the classification ability of the model by plotting the relationship between the True Positive Rate (TPR) and the False Positive Rate (FPR). The horizontal axis of the ROC curve represents the False Positive Rate, while the vertical axis represents the True Positive Rate.
Input
The input file is divided into three columns. The first column is ID, the second column is type, separated by \t in between.

Output

Chart Description
Chart Type: ROC curve (Receiver Operating Characteristic curve)
X-axis: False Positive Rate (1 - Specificity)
Y-axis: True Positive Rate (Sensitivity)
Red Curve: Represents the classification performance of the selected variable.
AUC Value: The chart displays the AUC (Area Under Curve) value.